question 1
Un référentiel :
est lié à l’objet d’étude.
est nécessairement immobile.
est un corps par rapport auquel on étudie le mouvement d’autres objets.
question 2
La trajectoire d’un point :
est l’ensemble des positions successives occupées par le point au cours du temps.
est une courbe qui peut être une droite, un cercle ou une forme quelconque.
est une succession de points séparés par une distance toujours identique.
question 3
Un point est en mouvement rectiligne si :
sa trajectoire est une droite.
sa trajectoire est un cercle.
la norme de sa vitesse est constante.
question 4
Un point est en mouvement uniforme si :
sa trajectoire est une droite.
sa trajectoire est un cercle.
la norme de sa vitesse est constante.
question 5
Maëlle se laisse rouler à rollers après avoir pris de la vitesse.
Camille court pour être à tout moment à son niveau.
Yassine, lui, regarde la situation sans bouger.
Dans cette situation, Maëlle :
est en mouvement par rapport à Camille.
est en mouvement par rapport à Yassine.
est en mouvement par rapport à la route.
question 6
Le mouvement d’un corps :
dépend du référentiel d’étude.
est indépendant du référentiel choisi.
doit toujours être étudié dans le référentiel terrestre.
question 7
On dispose de la trajectoire d’un point. On s’intéresse à la position du point M à un instant considéré.

Le vecteur vitesse
au point M :
est tangent à la trajectoire en M.
est vertical car globalement le point se dirige vers le haut.
a la direction de la flèche indiquant le sens du mouvement.
question 8
Le vecteur vitesse
au point M :
a le sens du mouvement.
a comme norme la vitesse instantanée du point en M.
a comme norme la vitesse moyenne du point tout au long du parcours.
question 9
Le vecteur vitesse
d’un point M entre les instants t – Δt et t + Δt est environ égal à :



question 10
L’expression de la variation du vecteur vitesse
entre t – Δt et t + Δt est :



Sur cette chronophotographie, la variation du vecteur vitesse
au point M8 est égale à :




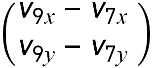
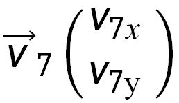
question 11
Soient les vecteurs
et
. Alors les coordonnées de
sont :



question 12
Un système en mouvement rectiligne et uniforme a :
un vecteur vitesse constant.
une variation de vecteur vitesse constante et non nulle.
une variation de vecteur vitesse nulle.